PERFORMANCE
OF DENSE GRANULAR MATERIALS
INFLUENCE OF RIGID SIDE WALLS. Effect of confinement on dense packings of rigid frictionless spheres and polyhedra. Experimental investigation of wave propagation in three dimensions in unbounded particulate assemblies.


Publications:
J.F. Camenen, Y. Descantes and P. Richard, Physical Review E, 86, 061317 (2012) (DOI: 10.1103/PhysRevE.86.061317).
J.F. Camenen, Y. Descantes and P. Richard, In Powder & Grains, AIP Conf. Proc. 1542, 321, 8-12 July 2013, Sydney, Australia (DOI: 10.1063/1.4811932).
S. Hamlin, E. Ibraim, M. Lings, D. Muir Wood, I. Cavaretta and J.F. Camenen, In 6th International Symposium on Deformation Characteristics of Geomaterials (Victor A Rinaldi, Marcelo E Zeballos, Juan Jose Clariá (eds.)), 15–18 November 2015, Buenos Aires, Argentina.
______________________________________________________________
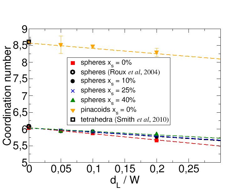
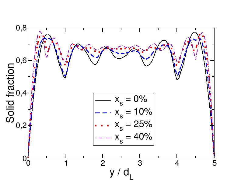
RANDOM CLOSE PACKING (RCP) DEFINITION AND INFLUENCE OF PARTICLE SHAPE ON DENSITY AND STRUCTURE. On the geometrical properties of rigid frictionless granular packings as a function of particle size and shape.


Publication:
J.F. Camenen & Y. Descantes, Physical Review E, 96, 012904 (2017) (DOI: 10.1103/PhysRevE.96.012904).